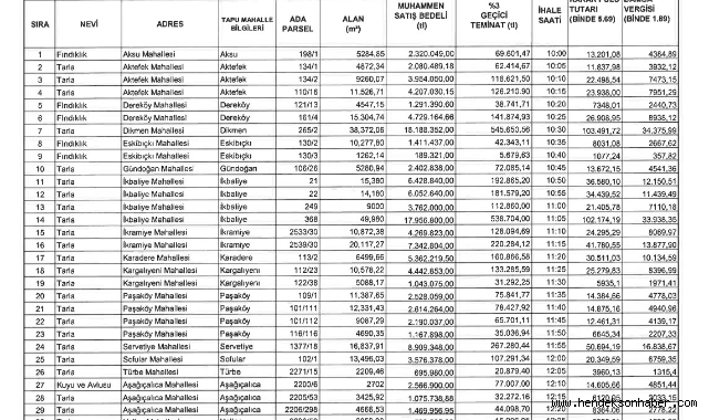
Hendek Belediyesi, Devlet İhale Kanununa uygun, açık ve şeffaf bir şekilde ihalelerini gerçekleştirmeye devam ediyor. Bu kapsamda 2886 sayılı Devlet İhale kanunun 45.maddesi hükümleri çerçevesinde Paşaköy, Sofular, A.Çalıca, Aksu, Aktefek, Dereköy, Dikmen, Eskibıçkı, Gündoğan, İkbaliye, İkramiye, Karadere Kargalıyeni, Türbe ve Hallaç mahallelerinde 32 ayrı tarla, fındıklık, kuyu ve avlusu için 22 Kasım 2023 Çarşamba günü Hendek Belediyesi Kültür ve Sosyal İşler Müdürlüğü Nikâh/Toplantı salonunda ihale gerçekleştirilecek.
İhaleyle ilgili olarak Hendek Belediyesinden yapılan bilgilendirmede, “İhaleye iştirak edecek özel veya tüzel kişilerin Emlak ve İstimlak Müdürlüğüne; gerekli belgeleri tamamlayarak en geç 21.11.2023 Salı günü saat 15:00`a kadar başvuruda bulunmaları gerekmektedir. Belirtilen gün ve saatten sonra yapılan başvurular kabul edilmeyecektir. İstekli olmaması durumunda ihaleler katılımcı olmadığı için yapılmamakta ve ileri tarihe ertelenmektedir. İhaleler yasal süre kapsamında ilan edilirken, sonuçlanan ve süreci devam ihalelerle ilgili tüm detaylar 2019 tarihinden itibarinden www.hendek.bel.tr adresindeki ihale rehberi kategorisinde açık bir şekilde sürekli yayınlanmaktadır. Ayrıca bilgi almak isteyen vatandaşlarımız 444 54 03 numaralı çağrı merkezini arayabilir ya da Emlak ve İstimlak Müdürlüğüne başvurabilir” denildi.
Yorumlar
Kalan Karakter: